Page 31 - น้ำท่วมซ้ำซาก 7 จังหวัดภาคเหนือ ปรับปรุงปี2557
P. 31
21
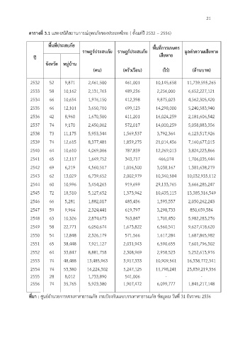
ตารางที่ 3.1 แสดงสถิติสถานการณ์อุทกภัยของประเทศไทย ( ตั้งแต่ปี 2532 – 2556)
พื นที่ประสบภัย พื นที่การเกษตร
ราษฎร์ประสบภัย ราษฎร์ประสบภัย มูลค่าความเสียหาย
ปี เสียหาย
จังหวัด หมู่บ้าน
(คน) (ครัวเรือน) (ไร่) (ล้านบาท)
2532 52 9,871 2,461,500 461,001 10,145,658 11,739,595,265
2533 58 10,162 2,131,765 489,236 2,256,000 6,652,227,121
2534 66 10,654 1,976,150 412,398 9,875,023 4,562,305,420
2535 66 12,101 3,650,710 699,123 14,298,000 5,240,583,940
2536 42 8,960 1,670,500 411,201 16,024,259 2,181,606,542
2537 74 9,170 2,450,002 572,017 14,000,259 5,058,883,356
2538 73 11,175 5,953,344 1,569,537 3,792,364 6,123,517,926
2539 74 12,615 8,377,481 1,859,275 21,014,456 7,160,677,015
2540 64 10,610 4,069,006 787,839 12,269,013 3,824,223,866
2541 65 12,117 1,649,752 343,717 466,074 1,706,035,444
2542 69 6,219 4,560,517 1,016,500 3,038,167 1,381,638,279
2543 62 13,029 6,739,652 2,002,979 10,340,584 10,032,935,112
2544 60 10,996 3,454,265 919,699 29,133,765 3,666,285,247
2545 72 18,510 5,127,652 1,373,942 10,435,115 13,385,316,549
2546 66 5,281 1,882,017 485,436 1,595,557 2,050,262,243
2547 59 9,964 2,324,441 619,797 3,298,733 850,659,584
2548 63 10,326 2,874,673 763,847 1,701,450 5,982,283,276
2549 58 22,771 6,050,674 1,673,822 6,560,541 9,627,418,620
2550 54 12,848 2,326,179 571,566 1,617,284 1,687,865,982
2551 65 38,448 7,921,127 2,031,943 6,590,655 7,601,796,302
2552 64 33,847 8,881,758 2,308,969 2,958,523 5,252,613,976
2553 74 48,488 13,485,963 3,917,333 10,909,561 16,338,772,341
2554 74 53,380 16,224,302 5,247,125 11,798,241 23,839,219,356
2555 28 8,012 1,733,890 541,006 - -
2556 74 35,765 5,923,380 1,907,472 6,099,777 1,841,217,148
ที่มา : ศูนย์อํานวยการบรรเทาสาธารณภัย กรมป้องกันและบรรเทาสาธารณภัย ข้อมูลณ วันที่ 31 ธันวาคม 2556

